heartbeat.fritz.ai/5-regression-loss-functions-all-machine-learners-should-know-4fb140e9d4b0
์ ์ผ๋ถ๋ฅผ ๋ฒ์ญ & ์์ฝํ ๊ธ
MSE Loss and MAE Loss
MSE(Mean Squared Loss, L2 Loss)๋ Error์ ์ ๊ณฑ์ ํ๊ท ์ ๋ธ ๊ฐ์ ๋๋ค. ์์์ผ๋ก ๋ํ๋ด๋ฉด ์๋์ ๊ฐ์ต๋๋ค.

๋ค์์ True value๋ฅผ 100์ด๋ผ๊ณ ํ์ ๋ Predicted value๋ฅผ -10,000์์ 10,000๊น์ง ๋ณํ์์ผ ๊ฐ๋ฉฐ ๊ทธ๋ฆฐ ๊ทธ๋ํ์ ๋๋ค. x์ถ์ Predicted value, y์ถ์ MSE Loss์ ๊ฐ์ ๋ํ๋ ๋๋ค.

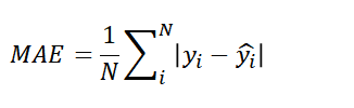
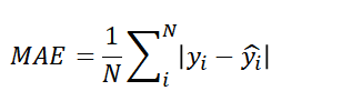
MAE(Mean Absolute Loss, L1 Loss)๋ Error์ ์ ๋๊ฐ์ ํ๊ท ์ ๋ธ ๊ฐ์ ๋๋ค. ์์์ผ๋ก ๋ํ๋ด๋ฉด ๋ค์๊ณผ ๊ฐ์ต๋๋ค.

๋ค์์ True value๋ฅผ 100์ด๋ผ๊ณ ํ์ ๋ Predicted value๋ฅผ -10,000์์ 10,000๊น์ง ๋ณํ์์ผ ๊ฐ๋ฉฐ ๊ทธ๋ฆฐ ๊ทธ๋ํ์ ๋๋ค. x์ถ์ Predicted value, y์ถ์ MAE Loss์ ๊ฐ์ ๋ํ๋ ๋๋ค.

MSE Loss์ MAE Loss ๋ชจ๋ Predicted value๊ฐ True value์ ๊ฐ์ ๋ ์ต์๊ฐ์ ๊ฐ์ง๊ณ , Loss๊ฐ์ 0๋ถํฐ ๋ฌดํ๋์ ๋ฒ์๋ฅผ ๊ฐ์ง๋๋ค.
MSE vs. MAE
๊ฒฐ๋ก ๋ถํฐ ๋งํ์๋ฉด, ์ต์ ๊ฐ์ ๊ตฌํ๊ธฐ์๋ MSE๊ฐ ์ข์ง๋ง, MAE๊ฐ outlier(์ด์์น)์ ๋ ์ํฅ์ ๋ฐ์ต๋๋ค.
MAE์ ๊ฒฝ์ฐ, loss๊ฐ ํฌ๋ ์๋ ํญ์ gradient๊ฐ ์ผ์ ํฉ๋๋ค. Loss๊ฐ ์์๋ gradient๋ ์์ง ์๊ธฐ ๋๋ฌธ์ ๊ฒฝ์ฌํ๊ฐ๋ฒ(gradient descent)๋ฅผ ์ฌ์ฉํด ์ต์ ๊ฐ์ ์ฐพ๋ ๋ฐ์ ์ด๋ ค์์ด ์กด์ฌํฉ๋๋ค.
์ด์ ๋นํด MSE๋ loss๊ฐ ํฌ๋ฉด gradient๋ ํฌ๊ณ , loss๊ฐ ์์ผ๋ฉด gradient๋ ์๊ธฐ ๋๋ฌธ์ ์ต์ ๊ฐ์ ์ฐพ๋ ๊ฒ์ด ๋ณด๋ค ์์ํฉ๋๋ค.

๋ค๋ง, ๋ค๋ฅธ ๊ฐ๋ค์ ๋นํด ํจ์ฌ ํฐ ๊ฐ์ด๋ ์์ ๊ฐ์ธ ์ด์์น๊ฐ ์กด์ฌํ๋ ๊ฒฝ์ฐ MAE๊ฐ ๋ ์ํฅ์ ์ ๊ฒ ๋ฐ์ต๋๋ค.
๊ทธ ์์๋ก ์๋ ํ์์ ์ผ์ชฝ์ ์ด์์น๊ฐ ์๋ ๊ฒฝ์ฐ, ์ค๋ฅธ์ชฝ์ ์ด์์น๊ฐ ์กด์ฌํ๋ ๊ฒฝ์ฐ์ ๋๋ค. ๊ฐ๊ฐ์ ๊ฒฝ์ฐ์์ MAE์ RMSE(MSE์ Root๋ฅผ ์ทจํ ๊ฐ)๋ฅผ ๊ณ์ฐํฉ๋๋ค. (*MSE ๋์ RMSE๋ฅผ ์ฌ์ฉํ ์ด์ ๋ MAE์ scale์ ๋ง์ถฐ ์ฃผ๊ธฐ ์ํจ์)

์ด์์น๊ฐ ์กด์ฌํ๋ ๊ฒฝ์ฐ RMSE๋ ์ํฅ์ ํฌ๊ฒ ๋ฐ์ ๊ฐ์ด ๋งค์ฐ ์ปค์ง ๊ฒ์ ๋นํด, MAE๋ ์ฐจ์ด๊ฐ ๋ํฉ๋๋ค.
๊ทธ ์ด์ ๋ Error์ ์ ๊ณฑ์ ์ทจํ๋ MSE์ ๊ฒฝ์ฐ ๊ทธ ๊ณผ์ ์์ Error๊ฐ ์ฆํญ๋๊ธฐ ๋๋ฌธ์ ๋๋ค.
๋ฐ๋ผ์ Train data์ ์ด์์น๊ฐ ์กด์ฌํ๋ ๊ฒฝ์ฐ MAE Loss๋ฅผ ์ฌ์ฉํ๋ ๊ฒ์ด ์ข์ ์ ์์ต๋๋ค.
๋ํ, MSE Loss๋ฅผ ์ฌ์ฉํ์ฌ ํ๋ จํ ๊ฒฝ์ฐ, ์์ธก๊ฐ์ ์ ๋ต ๊ฐ๋ค์ ํ๊ท ์ ์๋ฏธํ๊ณ ,
MAE Loss๋ฅผ ์ฌ์ฉํ์ฌ ํ๋ จํ ๊ฒฝ์ฐ, ์์ธก๊ฐ์ ์ ๋ต ๊ฐ๋ค์ ์ค์๊ฐ์ ์๋ฏธํ๋ค๊ณ ์๊ฐํ ์๋ ์์ต๋๋ค.
'๐ Deep Learning > DL & ML ์กฐ๊ฐ ์ง์' ์นดํ ๊ณ ๋ฆฌ์ ๋ค๋ฅธ ๊ธ
| Transformer์ positional encoding (PE) (0) | 2021.10.18 |
|---|---|
| [ML] Kernel Density Estimation (KDE)์ Kernel Regression (KR) (0) | 2021.10.18 |
| Convolution layer์ parameter ๊ฐ์ (0) | 2021.10.04 |